최근 사천대 서중국병원 연구팀이 2009 년부터 2018 년까지 국민건강영양시험조사 (NHANES) 자료를 심층적으로 분석해 19,280 참여자를 대상으로 진행했다. 결과는 카로티노이드가 표현형 노화의 가속을 늦추는 데 중요한 영향을 미치며, β-카로틴 및 β-크립톡잔틴이 특히 주목할 만하다. 이것은 이러한 천연 안료가 노화 방지 분야에서 큰 잠재력을 가지고 있음을 나타냅니다.

카로티노이드는 조류, 곰팡이, 박테리아 및 식물에서 널리 발견되는 천연 지용성 안료입니다. 700 개 이상의 천연 카로티노이드가 확인되었습니다. 화학 구조에 따라 카로티노이드는 두 가지 범주로 나눌 수 있습니다. 하나는 산소가없는 탄소와 수소 원소 (예: α-카로틴, β-카로틴 및 리코펜), 하이드 록실, 케토, 카르복실 및 메톡시 그룹과 같은 산소 작용기를 포함하는 산화 된 유도체로 구성된 또 다른 것 (루테인 및 제아잔틴과 같은). 인간 혈액에서 순환하는 카로티노이드 중 α-카로틴, β-카로틴, β-크립톡잔틴, 리코펜, 루테인 및 제아잔틴의 6 가지 유형이 95% 이상을 차지합니다.
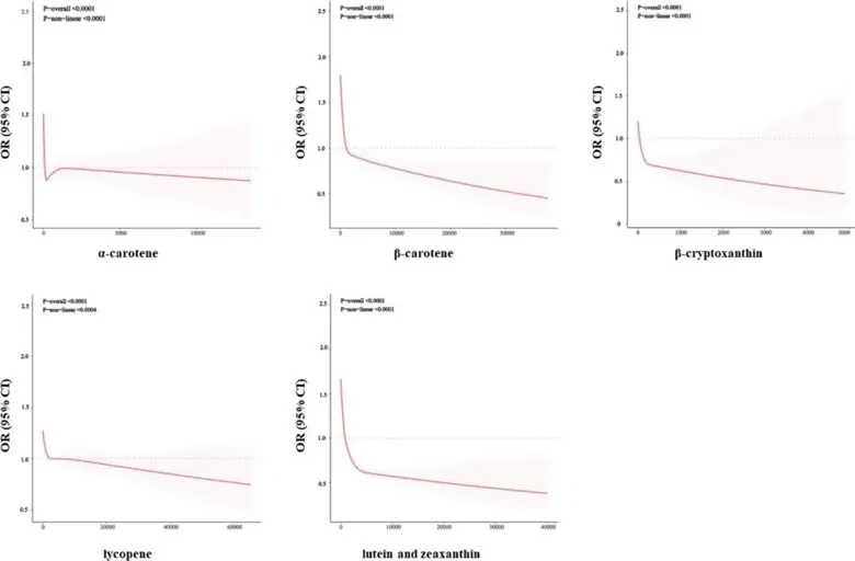
NHANES (National Health and Nutrition Examination Survey) 데이터를 기반으로 한 연구에서식이 카로티노이드 섭취와 생물학적 노화 과정 사이의 관계를 조사했습니다. 이 연구는식이 데이터를 분석하여 카로티노이드 섭취 수준을 얻었고 PhenoAge 및 KDM (Klemera-Doubal) 방법을 사용하여 생물학적 연령을 평가했습니다.
결과는 더 높은식이 카로티노이드 수치가 생물학적 노화 속도가 느린 것과 상당히 관련이 있음을 보여 주었으며, 이는 카로티노이드가 잠재적 인 노화 방지 효과가 있음을 시사합니다. 추가 분석은 카로티노이드 수준과 생물학적 연령의 가속화 사이의 중요한 비선형 관계를 밝혀 냈으며, 이는 보호 효과가 더 높은 섭취 수준에서 향상되었음을 나타냅니다.

연구 결과에 따르면 β-카로틴 및 β-크립톡잔틴은 노화 방지에 특히 중요한 영향을 미친다. 또한 카로티노이드의 노화 방지 효과는 집단에 따라 다릅니다. 특히, 젊은 개인 (60 세 미만), 여성, 고혈압 환자 및 당뇨병 환자는 높은 수준의 카로티노이드 섭취로 인해 더 큰 혜택을받습니다. 생물학적 노화 과정을 늦추는 데 도움이됩니다.

노화는 생리적 기능의 점진적인 감소와 질병에 대한 감수성의 증가를 특징으로하는 복잡한 생물학적 과정입니다. 산화 스트레스와 염증은 노화 과정을 이끄는 핵심 요소입니다. 카로티노이드는 수많은 공액 이중 결합을 포함하는 분자 구조로 인해 강력한 항산화 능력을 가지고 있습니다. 그들은 효과적으로 자유 라디칼을 중화시키고 염증을 감소시켜 신체의 과산화물 라디칼 및 단일 산소와 같은 반응성 산소 종 (ROS) 을 제거하여 건강한 노화를 촉진하는 데 중요한 역할을합니다.
카로티노이드의 노화 방지 잠재력은 주로 핵 인자 적혈구 2 관련 인자 2 (Nrf2) 의 c로의 전위를 촉진하는 능력을 기반으로합니다.핵. Nrf2 가 핵으로 이동하면 항산화 및 해독 효소의 전사를 시작합니다. 또한 세포가 분열함에 따라 텔로미어는 세포 사멸이 발생할 때까지 점차 단축되고 ROS와 염증은이 텔로미어 축소를 가속화합니다. Β-카로틴의 높은 식이 섭취는 더 긴 텔로미어 길이와 관련이 있다고보고되었습니다.
카로티노이드는 강한 착색력과 안정된 색조로 인해 음료, 사탕 및 기타 식품에 대한 착색제와 같은 다양한 분야에서 널리 사용됩니다. 뿐만 아니라 어린이 식품의 영양 첨가물. 카로티노이드는 비타민 A 활동뿐만 아니라 심혈관 및 피부 건강에 기여합니다. 그들은 인체의 생리적 조절 및 질병 예방에 중요한 역할을합니다.
카로티노이드는 저밀도 지단백질 (LDL) 의 산화를 억제하고 죽상 동맥 경화증의 발병을 예방하며 혈관 세포를 산화 적 손상으로부터 보호함으로써 혈관 기능을 유지함으로써 심혈관 건강을 보호합니다. 이들 중에서, 리코펜과 루테인은 이와 관련하여 상당한 이점을 갖는다. 메타 분석에 따르면 리코펜의식이 섭취가있는 개인은 심혈관 질환의 위험이 17% 감소했습니다. 루테인의 효과는 리코펜의 15 배, β-카로틴의 10 배이며 지질 과산화를 효과적으로 방지합니다.
광화는 주로 환경 요인에 의해 발생하며 피부 탄력 감소, 비정상적인 색소 침착, 건조 및 가려움증으로 나타납니다. 자외선 (UV) 방사선은 피부의 보호 및 복구 기능을 방해하는 반응성 산소 종 (ROS) 의 생성을 촉진하여 피부 노화를 촉진하는 핵심 트리거입니다. 연구에 따르면 카로티노이드를 보충하면 UV-유도 ROS 형성을 효과적으로 예방할 수 있습니다. 예를 들어, astaxanthin은 피부 건강을 향상시키고 산화 손상을 억제하여 광노화 방지 효과를 발휘합니다. 멜라닌 합성을 억제하고 색소 침착을 줄이며 피부 수분을 증가 시키며 건조한 피부를 개선 할 수 있습니다. 연구에 따르면 astaxanthin의 경구 섭취는 나이 반점과 주름을 줄이고 피부 수분과 탄력을 향상시킬 수 있습니다. 또한 astaxanthin은 자외선으로 인한 피부 손상을 줄이고 수분 손실 및 발진을 줄이며 피부 건강을 보호 할 수 있습니다.
카로티노이드의식이 섭취는 비 알코올성 지방간 질환 (NAFLD) 을 예방하기위한 기본 전략으로 간주됩니다. 리코펜은 알코올성 및 비 알코올성 지방간 질환을 포함한 다양한 간 질환에 대한 간 보호 특성을 나타냅니다. 리코펜의 간 보호 효과는 주로 활성 산소 종 (ROS) 에 의해 유발 된 세포 손상을 효과적으로 억제하는 강력한 항산화 기능에서 비롯됩니다. 또한 연구에 따르면 간에서 가장 풍부한 카로티노이드 중 하나 인 β-카로틴이 중요한 간 보호 효과를 보여줍니다. Β-카로틴의식이 섭취가 증가하면 간 지방증 및 자유 라디칼 매개 간 세포 손상의 위험을 크게 줄일 수 있습니다.
연령 관련 황반 변성 (AMD) 은 주로 성숙한 개체에서 광 수용체에 대한 퇴행성 손상으로 인해 발생하는 일반적인 시력 손상 질환입니다. 65 세 이상의 사람들에게 실명의 주요 원인이되었습니다. 2040 년까지 전 세계적으로AMD의 보급률은 거의 288 만 명으로 증가 할 것입니다 [6].
AMD의 초기 발현은 시력 감소, 대비 민감도 감소 및 시력 감소를 포함하며, 상태가 진행됨에 따라 기능적 시력의 점진적인 감소를 특징으로합니다. 카로티노이드는 황반 영역의 건강과 기능을 유지하는 데 중요한 역할을합니다. 다양한 카로티노이드 중에서 루테인과 제아잔틴은 혈액-망막 장벽을 통과하고 망막에 축적되어 황반 보호에 필수적인 과정인 황반 색소를 형성하는 것으로 나타났다.
또한, 주로 해양 유기체에서 발견되는 루테인 계열의 구성원 인 astaxanthin은 빛에 의한 망막 손상 및 기능 장애에 대한 잠재적 인 보호 효과를 갖는 것으로 믿어집니다. 독특한 분자 구조로 인해 astaxanthin은 세포 이중층 막을 가로 질러 세포의 내부 및 외부 층 모두에서 반응성 산소 종을 효과적으로 제거 할 수 있습니다. 이로써 망막에 대한 산화 스트레스에 대한 방어 메커니즘을 제공한다.
참조:
[1] https://link.springer.com/article/10.1007/s10522-024-10160-4
[2] https://www.mdpi.com/1422-0067/24/20/15199
[3] https://pubmed.ncbi.nlm.nih.gov/28318092/
[4] https://pubmed.ncbi.nlm.nih.gov/31605782/
[5] https://pubmed.ncbi.nlm.nih.gov/31904420/
[6] https:// pUbmed.ncbi.nlm.nih.gov/34829613/
이미지 출처: pixabay, 링크: https://pixabay.com/zh/photos/smoothie-fruit-vegetables-1578240/